728x90
반응형
문제

위의 그림과 같이 육각형으로 이루어진 벌집이 있다. 그림에서 보는 바와 같이 중앙의 방 1부터 시작해서 이웃하는 방에 돌아가면서 1씩 증가하는 번호를 주소로 매길 수 있다. 숫자 N이 주어졌을 때, 벌집의 중앙 1에서 N번 방까지 최소 개수의 방을 지나서 갈 때 몇 개의 방을 지나가는지(시작과 끝을 포함하여)를 계산하는 프로그램을 작성하시오. 예를 들면, 13까지는 3개, 58까지는 5개를 지난다.
입력
첫째 줄에 N(1 ≤ N ≤ 1,000,000,000)이 주어진다.
출력
입력으로 주어진 방까지 최소 개수의 방을 지나서 갈 때 몇 개의 방을 지나는지 출력한다.
예제 입력 1
13
예제 출력 1
3
풀이
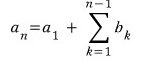
5개의 육각형의 각 육각형의 시작점 1,2,8,20,38이며 이는 6n의 차이를 가지는 계차수열이다.
계차수열의 일반식은
이며, 이를 위의 식에 대입하면 2+3*(n*(n-1))의 식이 성립된다.
즉 입력받은 값이 출발점 보다 작으면 해당 출발점보다 낮은 레벨의 수가 된다는 뜻이다.
코드
#include <bits/stdc++.h>
using namespace std;
int main()
{
int a, b=0, count = 0;
cin >> a;
if(a<=1)
{
cout<<a<<endl;
return 0;
}
while (a >= b)
{
count++;
b = 2 + 3 * (count * (count - 1));
}
cout << count;
}
728x90
반응형
'알고리즘 문제' 카테고리의 다른 글
알고리즘 문제) 순열 구하기 (0) | 2023.07.05 |
---|---|
알고리즘문제) 휴가(SW역량평가 기출) (0) | 2023.07.05 |
DFS)합이 같은 부분집합 (0) | 2023.04.05 |
DFS)부분집합 (0) | 2023.04.05 |
댓글